饮茶知识
行业资讯
饮茶知识
有机茶VS常规茶 白毫银针和白牡丹滋味化学特征解析
- 作者:
- 发布时间:2026-01-31 08:22:05
- 点击:
在追求健康与品质生活的当下,有机农产品越来越受到大家的关注。有机茶作为重要的有机农产品,生产过程几乎不使用人工合成的肥料、农药和生长调节剂等化学物质,不仅对土壤健康、生态环境和生物多样性有益,还能提升茶叶品质。目前,有机茶生产技术正在全国范围内推广实施,有机白茶作为其中的一种,近年来受到越来越多消费者的欢迎。

裕荣香有机白茶园
图源:天地茶人裕荣香
有研究表明,有机寿眉外形、香气、滋味、叶底品质显著高于常规寿眉,其可溶性糖和总黄酮含量也高于常规寿眉,但游离氨基酸含量比常规寿眉低;有机白牡丹中茶多酚、总黄酮含量与常规白牡丹的含量存在显著差异。

为了探明有机白毫银针和白牡丹在滋味上有什么区别,科研人员采用有机种植模式和常规种植模式下的福鼎大毫茶鲜叶(常规茶鲜叶制作的白茶为对照),分别制作白毫银针和白牡丹,对同等级白茶产品的感官品质及主要滋味成分展开比较分析,以探明有机白毫银针和白牡丹的滋味化学特征。

感官品质评价
有机白茶感官品质更胜一筹
依据国家标准对试验白茶样进行评审,可以发现白毫银针各项品质因子评分均在90分以上,白牡丹的汤色、香气与滋味因子得分均在85分以上;有机白茶的综合感官品质均优于常规茶鲜叶制作的白茶。
从外形、汤色、香气、叶底因子看,有机白茶与常规茶鲜叶制作的白茶的评分相近,但是在滋味因子上,二者的评分相差较大:
有机白毫银针的茶汤滋味甘醇,优于常规白毫银针;
有机白牡丹的滋味品质较常规白牡丹高1个等级,茶汤较甘醇。
由此可见,当原料标准相同时,有机白茶感官品质更优,特别是滋味品质。

不同白茶样品感官品质评价
主要滋味成分比较
滋味成分各有特点
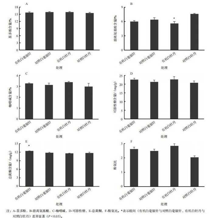
有机白茶中的茶多酚含量与常规茶鲜叶制作的白茶差异不大。
有机白茶中的游离氨基酸含量均低于相应常规茶鲜叶制作的白茶,其中有机白毫银针中游离氨基酸含量比常规白毫银针低0.4个百分点,有机白牡丹中游离氨基酸含量比常规白牡丹低2.0个百分点,且差异达到显著水平。
有机白茶的酚氨比均高于相应常规白茶的酚氨比。
有机白茶的咖啡碱和可溶性糖含量高于常规白茶。
有机白毫银针中的类黄酮含量显著高于常规白毫银针,有机白牡丹中的类黄酮含量则略低于常规白牡丹。

白茶样品主要滋味成分含量比较
在儿茶素方面,各儿茶素组分在有机白茶与常规茶鲜叶制作的白茶中的含量差异较大,除CG含量差异未达显著外,其他均为有机白茶中含量显著高于相应常规茶鲜叶制作的白茶。
简单儿茶素EGC在有机白毫银针和有机白牡丹中的含量分别较常规白毫银针和白牡丹高出了0.62、0.41个百分点。
EGCG在有机白毫银针和有机白牡丹中的含量分别较常规白毫银针和白牡丹高出了1.04、1.00个百分点。
综合可得,有机白茶中儿茶素含量占明显优势,尤其是儿茶素EGC和EGCG。

不同白茶样品的儿茶素含量比较
滋味特征定量描述
有机白茶鲜度和甜度更加明显
通过对有机白茶和常规茶鲜叶制作的白茶的滋味特征进行比较分析发现,有机白茶的鲜度和甜度明显高于常规茶鲜叶制作的白茶,其中有机白毫银针的鲜度显著高于常规白毫银针。
有机白茶的苦度和涩度明显低于常规茶鲜叶制作的白茶,其中有机白牡丹的苦度显著低于常规白牡丹。
鲜甜度(鲜度+甜度)与苦涩度(苦度+涩度)的比值均为有机白茶显著高于对应常规白茶。

白茶的滋味定量描述
对有机白茶的喜好度显著高于常规白茶。对白茶滋味属性指标的相关性进行分析,发现对白茶的喜好度与白茶鲜度、甜度呈极显著正相关,与白茶的苦度显著负相关,与白茶的涩度为极显著负相关。

白茶滋味属性指标的相关性
小结
有机白茶的综合品质更优
有机白茶中咖啡碱、可溶性糖、EGC和EGCG等的含量较常规白茶高,游离氨基酸含量较低。
感官审评发现,相比常规白茶,有机白茶具有较佳的感官品质,尤其是滋味因子,主要表现茶汤鲜度与甜度。
定量分析白茶的滋味特征发现,有机白茶鲜甜且少涩,喜好度优于同级常规白茶。
茶叶中存在很多种呈味物质,除上述的化合物外,还有核苷酸类、肽类等化合物。其中,肽类物质如寡肽(由2~10个氨基酸连接而成)在白茶中的含量超过游离氨基酸总量,但是其在有机白茶与常规白茶的组成特征差异尚不清楚,目前难以估量其对有机白茶鲜度的贡献,有待进一步研究。
本文节选自《中国茶叶》2025年第4期,P68-P72,《有机白毫银针和白牡丹的滋味化学特征分析》,作者:谢晨昕,赵锋,蔡亚威,陈苑旻*,林喜盈,林笑茹,蔡良绥,林进玉,苏英斌,郭丽*。图片来源于网络。
信息贵在分享,如涉及版权问题请联系删除
- 上一篇:低产低效茶园改造技术研究
- 下一篇:叶底,藏着茶叶的“体检报告
